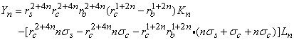
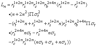
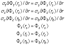
REFERENCES
[1] S. Abboud, Y. Eshel, S. Levy, M.
Rosenfeld, "Numerical
calculation of the potential distribution due to dipole
sources in a spherical model of the head," Comput. Biomed.
Res., vol. 27, pp. 441-455, 1994.
[2] M. Balish, S. Sato, P. Connaughton, C.
Kufta,
"Localization of implanted dipoles by magnetoencephalography,"
Neurology, vol. 41, pp. 1072-1076, 1991.
[3] Biomagnetic Technologies Inc., San
Diego, California.
[4] D. Cohen, B.N. Cuffin, K. Yunokuchi,
R. Maniewski, C.
Purcell, G.R. Cosgrove, J. Ives, J.G. Kennedy, D.L. Schomer,
"MEG versus EEG localization test using implanted sources in
the human brain," Ann. Neurol., vol. 28, pp. 811-817,
1990.
[5] R.P. Crease, "Images of conflict: MEG
vs. EEG,"
Science, vol. 253, (26) pp. 374-375, 1991.
[6] B.N. Cuffin, D. Cohen, K. Yunokuchi,
R. Maniewski, C.
Purcell, G.R. Cosgrove, J. Ives, J. Kennedy, D. Schomer,
"Tests of EEG localization accuracy using implanted sources in
the human brain," Ann. Neurol., vol. 29, pp. 132-138,
1991.
[7] Y. Eshel, S.L. Witman, M. Rosenfeld,
S. Abboud,
"Correlation between skull thickness asymmetry and scalp
potential estimated by a numerical model of the head," IEEE
Trans. Biomed. Eng., vol. 42, pp. 242-249, 1995.
[8] H.J. Eskola, J.A. Malmivuo, J.J.
Nousiainen, J.O. Lekkala,
"Corrected unipositional lead system for vector
magnetocardiography," IEEE Trans. Biomed. Eng., vol.
BME-34, pp. 81-90, 1987.
[9] H.L.F. Helmholtz, "Über einige
Gesetze der Vertheilung elektrischer Ströme in
körperlichen Leitern mit Anwendung auf
die thierisch-elektrischen Versuche," Ann. Physik und
Chemie, vol. 89, pp. 211-233, 354-377, 1853.
[10] J.A. Malmivuo, On the detection of
the magnetic heart
vector - An application of the reciprocity theorem. Helsinki
Univ. Tech., Acta Polytechn. Scand., El. Eng. Series.
Vol. 39., pp. 112, (Dr. tech. thesis), 1976.
[11] J.A. Malmivuo, "Distribution of MEG
detector sensitivity:
An application of reciprocity," Med. & Biol. Eng. &
Comput., vol. 18, pp. 365-370, 1980.
[12] J. Malmivuo "Sensitivity
distribution of MEG measurement
and energy distribution in magnetic stimulation of the central
nervous system", in Proc. of the 2nd Far Eastern Conf.
Medical and Biological Engineering, August 15-18, Beijing,
p. 370, 1993.
[13] J. Malmivuo, R. Plonsey,
Bioelectromagnetism -
Principles and applications of bioelectric and biomagnetic
fields, pp. 480, Oxford University Press, New York, 1995.
[14] J.A. Malmivuo, J. Puikkonen,
"Sensitivity distribution of
multichannel MEG detectors", in Abstr. 6th Internat. Conf.
Biomagnetism, Tokyo, 27-30 August, ed. Atsumi K, Kotani M,
Ueno S, Katila T, Williamson SJ, pp. 112-3, Tokyo Denki
University Press, Tokyo, 1987.
[15] J.A. Malmivuo, J. Puikkonen,
"Qualitative properties of
the sensitivity distribution of planar gradiometers,"
Tampere Univ. Techn., Inst. Biomed. Eng., Rep. vol. 2,
pp. 35, 1988.
[16] J. Puikkonen, J.A. Malmivuo,
"Theoretical investigation
of the sensitivity distribution of point EEG-electrodes on the
three concentric spheres model of a human head - An
application of the reciprocity theorem," Tampere Univ.
Techn., Inst. Biomed. Eng., Rep., vol. 1, pp. 71, 1987.
[17] S. Rush, D.A. Driscoll,
"EEG-electrode sensitivity - An
application of reciprocity," IEEE Trans. Biomed. Eng.,
vol. BME-16, pp. 15-22, 1969.
[18] W.R. Smythe, Static and dynamic
electricity, 3rd
ed., pp. 623, McGraw-Hill, New York, N.Y., 1968.
[19] C.J. Stok, "The influence of model
parameters on EEG/MEG
single dipole source estimation," IEEE Trans. Biomed.
Eng., vol. BME-34, pp. 289-296, 1987.
[20] V. Suihko, H. Eskola, J.A. Malmivuo,
"Effect of electrode
size in electroencephalography and electrical transcranial
stimulation," in Proc. 1st Int. Conf. on Medical Physics &
Biomedical Engineering, Nicosia, Cyprus, pp. 306-310,
1994.
[21] V. Suihko, J. Malmivuo, "Sensitivity
distributions of EEG
and MEG measurements," in EEG and MEG Signal Analysis and
Interpretation, Proc. 2nd Ragnar Granit Symp., ed. J.
Hyttinen, J. Malmivuo, pp. 11-20, Tampere University of
Technology, Ragnar Granit Institute, Tampere, 1993.
[22] V. Suihko, J.A. Malmivuo, H. Eskola,
"Distribution of
sensitivity of electric leads in an inhomogeneous spherical
head model," Tampere Univ. Techn., Ragnar Granit Inst.,
Rep., vol. 7, 1993.
[23] S. Tan, B.J. Roth, J.P. Wikswo, "The
magnetic field of
cortical current sources: the application of spatial filtering
model to the forward and inverse problems," Electroenceph.
Clin. Neurophysiol., vol. 76, pp. 73-85, 1990.
[24] J.P. Wikswo, A. Gevins, S.J.
Williamson, "The future of
the EEG and MEG," Electroenceph. Clin. Neurophysiol.,
vol. 87, pp. 1-9, 1993.
Acknowledgement. This work has been supported by the
Academy of Finland and the Ragnar Granit Foundation.
|
Jaakko Malmivuo
(S'71-M'92-SM'95) received the M.Sc.
and Ph.D. degrees from Helsinki University of Technology,
Espoo, Finland, in 1971 and 1976, respectively. From 1974 to
1976 he served as researcher at Stanford University.
In 1976 he was appointed as Associate Professor and in
1986 Professor of Bioelectromagnetism at Tampere University of
Technology (TUT), Tampere, Finland. Since 1992 he has been
Director of the Ragnar Granit Institute at TUT. He has served
as Visiting Professor at Technical University of Berlin (West)
(1988), Dalhousie University, Halifax, Canada (1989), and
Sophia University, Tokyo, (1993). He has over 250 scientific
publications and he has co-written with R. Plonsey,
Bioelectromagnetism, (New York; Oxford Univ. Press,
1995).
Dr. Malmivuo was President of the Finnish Society for
Medical Physics and Medical Engineering in 1987-1990. He is
founder Member and President of the International Society for
Bioelectromagnetism.
|
 |
Veikko E. Suihko received the M.Sc. degree in
electrical engineering and the Lic.Tech. degree in biomedical
engineering from Tampere University of Technology, Tampere,
Finland, in 1991 and 1994, respectively. From 1991 to 1996, he
was researcher at the Ragnar Granit Institute at Tampere
University of Technology.
He is currently Associate Physicist at Tampere University
Hospital. His research interests include modeling of
bioelectric phenomena with applications to noninvasive
electric stimulation of central nervous system and measurement
of electric activity of the brain.
|
 |
Hannu Eskola was born in Honkilahti, Finland, on
November 13, 1954. He received the M.Sc. and Ph.D. degrees in
biomedical engineering from Tampere University of Technology,
Tampere, Finland, in 1979 and 1983, respectively.
Since 1980 he has been Hospital Physicist in various
departments in University Hospitals of Tampere and Kuopio. In
1994 he joined the Ragnar Granit Institute at Tampere
University of Technology and became Associate Professor in
Medical Electronics. His main research interests are in
neurophysiology, especially in modelling of electric fields in
the brain.
|